XIA-BERTONI

<< Pulse para mostrar la Tabla de Contenidos >>

Navegación:  Métodos de Cálculo > Xia-Bertoni

XIA-BERTONI

Inicio  Anterior  Siguiente

DESCRIPCIÓN

El modelo Xia-Bertoni [1-4] es un modelo analítico que permite estimar la pérdida básica de propagación en entornos urbanos y suburbanos. En comparación con modelos de propagación similares, como Walfish-Bertoni o COST 231, el modelo Xia-Bertoni puede ser empleado en escenarios en los que la antena de la estación base se encuentra por encima, por debajo o a una altura similar a la altura media de los tejados de los edificios.

El modelo identifica tres mecanismos importantes que intervienen en la propagación de señales radio en entornos urbanos y suburbanos:

1) Propagación en condiciones de espacio libre.

2) Difracción tejado-calle entre el edificio de difracción final (EDF) y la estación móvil.

3) Difracción multipantalla debida a la interacción de la onda con los edificios interpuestos entre la estación base y el EDF.

El principal aporte del modelo es el método analítico empleado para resolver la difracción multipantalla. Las hileras de edificios son aproximadas como pantallas absorbentes de manera que la propagación sobre los edificios se trata como un proceso de difracción múltiple producido por pantallas.

La Fig. 1 muestra un perfil típico del trayecto de propagación estudiado por el modelo, así como los parámetros geométricos que intervienen en el proceso de cálculo. El modelo no toma en cuenta el ángulo de incidencia formado por el rayo directo y la orientación de la calle.

xia_img_1

Figura 1: Perfil de propagación típico en el modelo Xia-Bertoni para Δhb >> 0.

DESARROLLO

Considerando los procesos de propagación previamente mencionados, la pérdida básica de propagación, Lb, se expresa como la suma de tres términos independientes:

xia_1

(1)

donde L0 es la pérdida en condiciones de espacio libre, Lrts es la pérdida de difracción tejado-calle, y Lmsd es la pérdida debido a difracción multipantalla.

Pérdida en condiciones de espacio libre, L0

La pérdida en condiciones de espacio libre, L0, es función de la frecuencia y la distancia entre el transmisor y el receptor. A continuación se presentan las expresiones para tres diferentes escenarios:

i) Altura de antena de estación base por encima del nivel de los tejados, hb >> hr

xia_2

(2)

donde f está expresada en MHz y d en km.

ii) Altura de antena de estación base muy cerca del nivel de los tejados, hb ≈ hr

Se añade un factor empírico igual a √2 (3 dB) que tiene en cuenta la contribución de los rayos originados por dispersión local (local scattering) desde los edificios próximos a la estación base, que producen, en término medio, un refuerzo de la emisión hacia el receptor. La ecuación (2) se reescribe como:

xia_3

(3)

iii) Altura de antena de estación base por debajo del nivel de los tejados, hb< hr

El valor de L0 se calcula empleando la ecuación (3).

Pérdida tejado a techo, Lrst

El análisis y cálculo de la pérdida de difracción tejado-calle, Lrst, se realiza a través de la Teoría Geométrica de Difracción (Geometrical Theory of Diffraction, GTD). Se calcula mediante la siguiente expresión:

xia_4

(4)

donde:

xia_4b

r: distancia del punto de difracción P a la estación móvil M

Δhm: diferencia entre el nivel de altura media de los tejados (hr) y la altura del móvil (hm)

x: distancia horizontal de la estación móvil al edificio donde se produce la última difracción. En general, x=w/2, donde w representa el ancho de la calle

Desarrollando la ecuación (4) y expresándola en función de la frecuencia f (MHz), resulta:

xia_5

(5)

Pérdidas por difracción multipantalla, Lmsd

La pérdida por difracción multipantalla Lmsd se evalúa mediante la siguiente expresión genérica:

xia_6

(6)

El parámetro QM se calcula mediante un proceso de integración múltiple que incluye en su resolución el uso de las funciones de Boersma [1].

i) Altura de antena de estación base por encima del nivel de los tejados, hb >> hr

El valor del parámetro QM se aproxima mediante la siguiente expresión:

xia_7

(7)

donde:

xia_7b

En base a una serie de campañas de medida realizada por los autores del modelo, la expresión (7) se modifica de la siguiente manera:

xia_8

(8)

Reemplazando (3.8) en (3.6), se obtiene la expresión para la pérdida por difracción multipantalla Lmsd:

xia_9

(9)

donde d está en km, b en m y f en MHz.

ii) Altura de antena de estación base muy cerca del nivel de los tejados hb ≈ hr

Este escenario corresponde a estaciones base cuyas antenas se encuentran 2-3 m por encima del nivel medio de los tejados. El parámetro Δhb se aproxima como Δhb ≈ 0 y la solución propuesta por Xia-Bertoni para QM es la siguiente:

xia_10

(10)

obteniéndose así:

xia_11

(11)

donde la distancia d está expresada en km y b en m.

iii) Altura de antena de estación base por debajo del nivel de los tejados hb< hr

Este caso corresponde a estaciones base cuyas antenas se encuentran por debajo del nivel medio de los tejados, las cuales son generalmente empleadas en aplicaciones microcelulares, donde la antena está ubicada en la fachada de los edificios, por tanto se verifica que Δhb< 0 (ver Fig. 2).

xia_img_2

Figura 2: Escenario típico de propagación para Δhb < 0.

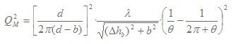
El análisis de la difracción múltiple puede ser separado en dos procesos de difracción individuales. En primer lugar, la radiación emitida por la estación base es difractada por la primera hilera de edificios (ver trayecto BA en Fig. 2), cuya solución se basa en la teoría de difracción GTD, al igual que en el caso de la difracción tejado-calle previamente estudiada. En segundo lugar, un proceso de difracción múltiple que ocurre debido a la influencia de las hileras de edificios restantes (ver trayecto AC en Fig.2), el cuál se aproxima analíticamente como la difracción múltiple causada por una serie de filas de pantallas absorbentes. Un análisis detallado [1] permite obtener el término Q2M:

xia_12

(12)

Sustituyendo el valor de Q2M en (6), con la simplificación d-b ≈ d, la pérdida por difracción multipantalla, Lmsd, se escribe mediante la siguiente ecuación:

xia_13b

(13)

donde d está en km, f en MHz, r’ y b en m, y el ángulo θ en radianes, siendo:

xia_13b

Pérdida básica de propagación, Lb

En base al análisis previo sobre las pérdidas parciales que intervienen en el cálculo de la pérdida básica de propagación, las expresiones que se presentan a continuación (14 - 16) resumen el método de cálculo de la pérdida básica de propagación, Lb, para los tres diferentes escenarios:

i) Altura de antena de estación base por encima del nivel de los tejados hb >> hr

xia_14

(14)

REFERENCIAS

[1] H. H. Xia and H. L. Bertoni, "Diffraction of cylindrical and plane waves by an array of absorbing half-screens," in IEEE Transactions on Antennas and Propagation, vol. 40, no. 2, pp. 170-177, Feb 1992. doi: 10.1109/8.127401

[2] H. H. Xia, "A simplified analytical model for predicting path loss in urban and suburban environments," in IEEE Transactions on Vehicular Technology, vol. 46, no. 4, pp. 1040-1046, Nov 1997. doi: 10.1109/25.653077

[3] L. R. Maciel, H. L. Bertoni and H. N. Xia, "Unified approach to prediction of propagation over buildings for all ranges of base station antenna height," in IEEE Transactions on Vehicular Technology, vol. 42, no. 1, pp. 41-45, Feb 1993. doi: 10.1109/25.192385

[4] H. H. Xia, H. L. Bertoni, L. R. Maciel, A. Lindsay-Stewart and R. Rowe, "Microcellular propagation characteristics for personal communications in urban and suburban environments," in IEEE Transactions on Vehicular Technology, vol. 43, no. 3, pp. 743-752, Aug 1994. doi: 10.1109/25.312772